Introduction
Axicabtagene ciloleucel (axi-cel) is an autologous anti-CD19 Chimeric Antigen Receptor (CAR) T-cell therapy that induces durable responses in patients with relapsed or refractory large B-cell lymphoma. At a median of 63.1 months follow-up on the ZUMA-1 trial, median overall survival (OS) was 25.8 months with 5-year OS and PFS (progression-free survival) estimates of 42.6% (95% CI, 32.8-51.9) and 31.8% (95% CI, 22.9-41.1), respectively (Neelapu, Blood 2023). We previously reported outcomes of axi-cel patients treated with standard of care therapy, including 42% who did not meet eligibility criteria for ZUMA-1 based on co-morbidities (Nastoupil, JCO 2020). Here we report results from this cohort at a median follow up of 58 months, as well as late outcomes of interest.
Results
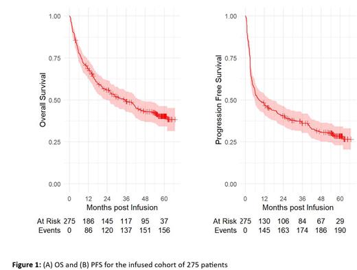
The US Lymphoma CAR-T Consortium is comprised of 17 US academic centers who contributed data independent of the manufacturer. Two hundred and ninety-eight patients underwent leukapheresis with intent to manufacture standard of care axi-cel (n=298) as of September 30, 2018. In infused patients (n=275), OS and PFS were calculated from date of infusion.
After a median follow-up of 58 months, median OS was 34.9 months (95% CI 23.4 - 44.8) with the OS at 3, 4, and 5 years of 49.1% (95% CI 42.9 - 54.9%), 43% (95% CI 36.8 - 48.9%), and 40.3% (95% CI 34.2 - 46.4%), respectively. The median PFS was 8.7 months (95% CI 5.87 - 16.6) and the 3-,4-, and 5- year PFS were 36.1% (95% CI 30.4 - 41.8%), 30.7 (95% CI 25.2 - 36.4%), and 28.5% (95% CI 23 - 34.2%), respectively. Results of multi-variable modeling were similar to our prior analysis: male sex (HR 1.56, 95% CI 1.08 - 2.27, p =0.02); LDH above the upper limit of normal (HR 1.6, 95% CI 1.12 - 2.30, p = 0.01); ECOG status of 2-4 (HR 2.02, 95% CI 1.33 - 3.07, p = <0.001); and elevated bilirubin > 1.5 (HR 5.68, 95% CI 2.21 - 14.6, p = <0.001) were associated with decreased OS. Factors associated with decreased PFS included male sex (HR 1.68, 95% CI 1.20 - 2.37, p = 0.003), LDH above the upper limit of normal (HR 1.82, 95% CI 1.31 - 2.53, p = <0.001), ECOG status of 2-4 (HR 1.93, 95% CI 1.30 - 2.86, p = 0.001), elevated bilirubin (HR 3.68, 95% CI 1.45 - 9.37, p = 0.006) and receipt of 3 or more prior lines of therapy (HR 1.49, 95% CI 1.03 - 2.13, p = 0.032).
We also assessed events of interest including late PFS events and causes of non-relapse mortality (NRM). One hundred and ninety-one PFS events occurred after axi-cel infusion during the follow-up period, 151 due to lymphoma progression and 40 NRM. In the first 12 months post infusion, 131 progression events occurred,13 between 1 and 2 years post infusion, and 7 relapses after 2 years with the latest occurring 46.4 months after infusion. Thirteen NRM events occurred in the 1st year post infusion, 6 between 1- and 2-years post infusion and 21 occurring later than 2 years after infusion. Of the 40 NRM events, 21 were secondary to infection including fungal infections (n = 3, 2 candidemia, 1 candidemia and pneumocystis jiroveci pneumonia), JC encephalitis (n=1) and COVID-19 (n = 2). Nine deaths were attributed to secondary malignancy. Other causes of NRM included cerebral edema (n=1), HLH (n=1), intracranial hemorrhage (n=1), suicide (n=1), and unknown (n=6). The 5-year cumulative risk of relapse was 55.2% and the 5-year risk of non-relapse mortality was 16.2%.
Excluding non-melanoma skin cancers, twenty-three of 275 (8%) patients were diagnosed with subsequent malignancy after axi-cel treatment: 14/275 (5%) patients were diagnosed with myeloid malignancies (MDS (n=11), AML (n=2), CMML (n=1)); other malignancies included anal squamous cell carcinoma (ca) (n=1); histiocytic sarcoma (n=1); prostate ca (n=1); endometrial ca (n=1); lung ca (n=1); merkel cell ca (n = 1), mesothelioma (n=1), B-ALL (n = 1), and AITL (n=1).
Conclusion
This multi-center retrospective study showed similar 5-year results to the ZUMA-1 trial with a 5-year PFS and OS of 28.5% and 40.3%, despite including patients who did not meet ZUMA-1 eligibility criteria based on comorbidities. Non-relapse mortality was primarily due to infection and secondary malignancy. This report supports the curative potential of axi-cel but highlights the competing risk of NRM in this high-risk patient population.
Disclosures
Spiegel:Kite Gilead: Consultancy; ImmPact Bio: Consultancy. Jain:Myeloid Therapeutics: Consultancy, Honoraria; Kite/Gilead: Consultancy, Honoraria, Research Funding; Loxo@Lilly: Research Funding; Incyte: Research Funding. Nastoupil:Gilead Sciences/Kite Pharma: Honoraria, Research Funding; AstraZeneca: Honoraria; Regeneron: Honoraria; Genentech, Inc., Genmab, Gilead/Kite, Janssen, Merck, Novartis, Takeda: Honoraria, Research Funding; Daiichi Sankyo: Honoraria, Research Funding; DeNovo: Honoraria; Caribou Biosciences: Honoraria, Research Funding; Bristol Myers Squibb/Celgene: Honoraria, Research Funding; ADC Therapeutics: Honoraria; AbbVie: Honoraria. Ghobadi:Kite/Gilead: Consultancy, Honoraria, Research Funding; Wugen Inc: Consultancy; CRISPR Therapeutics: Consultancy; Genentech, Inc.: Research Funding; BMS: Consultancy; Atara: Consultancy; Amgen: Consultancy, Research Funding. Reagan:Caribou biosciences: Consultancy; Genentech: Research Funding; Seagen: Research Funding; Kite, a Gilead Company: Consultancy, Other: speaker. Oluwole:Allogene: Research Funding; Pfizer: Consultancy, Honoraria, Research Funding; AbbVie: Consultancy; ADC: Consultancy, Speakers Bureau; Cargo: Consultancy; Caribou: Consultancy; Epizyme: Consultancy; Kite, a Gilead Company/ Gilead: Consultancy, Research Funding; Nektar: Consultancy; Novartis: Consultancy; TGR: Consultancy; Daiichi Sankyo: Research Funding; Gilead: Consultancy, Honoraria. McGuirk:Kite: Consultancy, Research Funding; Magenta Therapeutics: Consultancy; Bellicum Pharmaceuticals: Research Funding; Astellas Pharma: Research Funding; Fresenius Biotech: Research Funding; Novartis: Research Funding; EcoR1 Capital: Consultancy; Juno Therapeutics: Consultancy; Allovir: Consultancy, Research Funding; Gamida Cell: Research Funding; Pluristem Therapeutics: Research Funding. Dorritie:BMS: Membership on an entity's Board of Directors or advisory committees, Research Funding; Genmab: Research Funding; Hoffman-LaRoche: Research Funding; Janssen: Research Funding; Curio and Dava Oncology: Honoraria; Kite, a Gilead Company: Research Funding; Genentech: Research Funding. Sehgal:Bristol Myers Squibb: Research Funding; Chimagen: Research Funding; Cytoagents: Research Funding; Kite/Gilead: Research Funding; PeerView Live: Speakers Bureau; OncLive: Speakers Bureau. Goy:Medscape: Consultancy; Michael J. Hennessey: Consultancy, Honoraria; Physicians Education Resource, LLC: Consultancy, Honoraria, Other: travel, accommodations, and expenses; Acerta: Honoraria, Membership on an entity's Board of Directors or advisory committees, Research Funding; Novartis: Consultancy, Honoraria; Infinity: Research Funding; Xcenda: Consultancy, Honoraria; Seagen: Research Funding; Verastem: Research Funding; AbbVie/ Pharmacyclics LLC: Consultancy, Honoraria, Membership on an entity's Board of Directors or advisory committees, Other: Steering Committee, Research Funding; Janssen: Consultancy, Honoraria, Membership on an entity's Board of Directors or advisory committees, Other: Steering Committee, Research Funding; AstraZeneca: Membership on an entity's Board of Directors or advisory committees, Other: Steering Committee, Research Funding; Clinical Advances in Hematology & Oncology: Consultancy; Kite, a Gilead Company: Consultancy, Honoraria, Membership on an entity's Board of Directors or advisory committees, Research Funding; Karyopharm: Research Funding; Genentech: Research Funding; Bristol Myers Squibb/Celgene: Consultancy, Membership on an entity's Board of Directors or advisory committees, Other, Research Funding; Constellation: Research Funding; Hoffman la Roche: Consultancy, Honoraria, Research Funding; Vincerx: Honoraria, Membership on an entity's Board of Directors or advisory committees, Other; OMI: Current Employment; MorphoSys: Research Funding; Pharmacyclics LLC, an AbbVie Company: Other: Steering Committee, Research Funding; Resilience: Current holder of stock options in a privately-held company; Alloplex: Current holder of stock options in a privately-held company, Honoraria, Membership on an entity's Board of Directors or advisory committees; Genomics Testing Cooperative LLC: Current holder of stock options in a privately-held company, Membership on an entity's Board of Directors or advisory committees, Other: Leadership Role; COTA Healthcare: Current holder of stock options in a privately-held company, Membership on an entity's Board of Directors or advisory committees, Other: Leadership Role; Regional Cancer Care Associates, OMI: Current Employment, Research Funding; OncLive Peer Exchange: Honoraria; Practice Update Oncology: Consultancy, Honoraria. Hill:Pharmacyclics: Consultancy, Other: Advisory board, Research Funding; Kite, a Gilead Company: Consultancy, Honoraria, Other: travel support, Research Funding; Genentech: Consultancy, Other: Advisory board, Research Funding; Bristol Myers Squibb: Consultancy; BeiGene: Consultancy; AstraZeneca: Consultancy; AbbVie: Consultancy, Other: Advisory board, Research Funding; Incyte: Consultancy; Gilead: Other: Advisory board. Andreadis:Lilly: Research Funding; Roche: Research Funding; Astra Zeneca: Honoraria; Epizyme: Honoraria; Gilead: Honoraria; BMS: Honoraria, Research Funding; Novartis: Research Funding; pharmacyclics: Honoraria; Merck: Research Funding. Munoz:Beigene: Consultancy, Research Funding, Speakers Bureau; Acrotech/Aurobindo: Consultancy, Speakers Bureau; Pharmacyclics/ Janssen: Consultancy, Research Funding, Speakers Bureau; Alexion: Consultancy; MEI: Consultancy; TG Therapeutics: Consultancy; OncView: Honoraria; Kite, a Gilead Company: Consultancy, Research Funding, Speakers Bureau; Pfizer: Consultancy; Merck: Research Funding; Seattle Genetics: Consultancy, Honoraria, Research Funding, Speakers Bureau; Kyowa: Honoraria, Speakers Bureau; ADC Therapeutics: Consultancy; Celgene/ Bristol-Myers Squibb: Consultancy, Speakers Bureau; Verastem: Consultancy, Speakers Bureau; AstraZeneca: Consultancy, Speakers Bureau; Physicians' Education Resource: Honoraria; Lilly/Loxo: Consultancy; Epizyme: Consultancy; Curio: Honoraria; Karyopharm: Consultancy; Genmab: Consultancy; Morphosys/Incyte: Consultancy; Celgene: Research Funding; Targeted Oncology: Honoraria; Genentech/Roche: Consultancy, Research Funding, Speakers Bureau; Incyte: Research Funding; Portola: Research Funding; Millennium: Research Funding; Bayer: Consultancy, Research Funding, Speakers Bureau; Pharmacyclics/Abbvie: Consultancy, Research Funding. Ulrickson:Gilead Sciences: Consultancy; Stemline: Consultancy. Westin:Abbvie: Consultancy; Kite/Gilead: Consultancy, Research Funding; AstraZeneca: Consultancy, Research Funding; Genentech: Consultancy, Research Funding; Morphosys/Incyte: Consultancy, Research Funding; SeaGen: Consultancy; MonteRosa: Consultancy; Kymera: Research Funding; ADC Therapeutics: Consultancy, Research Funding; Calithera: Research Funding; Nurix: Consultancy; Novartis: Consultancy, Research Funding; BMS: Consultancy, Research Funding. Chavez:Eli Lilly: Speakers Bureau; BeiGene: Speakers Bureau; Novartis: Consultancy; Kite, a Gilead Company: Consultancy; GenMab: Consultancy; Genentech: Consultancy; Bristol Myers Squibb: Consultancy; AstraZeneca: Consultancy, Research Funding; AdiCet: Consultancy; Janssen: Research Funding; Merck: Research Funding; ADC Therapeutics: Consultancy, Research Funding. Bennani:Secura Bio: Other: Advisory board; No personal compensation; Affimed: Other: Advisory board; No personal compensation; Astellas Pharma: Other: Advisory board; No personal compensation; Acrotech: Other: Advisory board; No personal compensation; Acrotech: Other: Scientific Advisory Committee, No personal compensation ; Kymera: Other: Advisory board; No personal compensation. Vose:Eli Lilly and Company; Epizyme, Kite, Loxo, Novartis: Research Funding; AbbVie, MEI Pharma: Consultancy. Miklos:MorphoSys: Consultancy, Honoraria; Genentech: Consultancy, Honoraria; Amgen: Consultancy, Honoraria; Fate Therapeutics: Research Funding; 2Seventy Bio: Research Funding; Allogene: Research Funding; Adicet: Research Funding; Miltenyi: Consultancy, Research Funding; Bristol-Myers Squibb: Consultancy; Kite, a Gilead Company: Consultancy, Research Funding; NA: Patents & Royalties: cGVHD patent holder for Ibrutinib as cGVHD therapy but no compensation; A2 Biotherapeutics: Consultancy, Current holder of stock options in a privately-held company, Honoraria; Celgene: Consultancy, Honoraria, Membership on an entity's Board of Directors or advisory committees, Research Funding; Novartis: Consultancy, Honoraria; Legend Biotech: Consultancy, Honoraria; Mustang Bio: Consultancy, Honoraria; Navan Technologies: Consultancy, Current holder of stock options in a privately-held company, Honoraria; Gilead Sciences: Consultancy, Honoraria; Pharmacyclics: Consultancy, Honoraria; Umoja: Consultancy, Honoraria; Juno Therapeutics: Consultancy, Honoraria, Patents & Royalties: rights to royalties from Fred Hutch for patents licensed to Juno, Research Funding; Incyte: Consultancy, Honoraria; Adaptive Biotechnologies: Consultancy; Janssen: Consultancy, Honoraria, Other: Travel support; Bioline Rx: Membership on an entity's Board of Directors or advisory committees. Neelapu:Precision Biosciences: Research Funding; Carsgen: Consultancy; Kite, A Gilead Company: Consultancy, Other: Advisory Board Member, Research Funding; Merck: Consultancy, Other: Advisory Board Member; Sellas Life Sciences: Consultancy, Other: Advisory board member; Orna Therapeutics: Consultancy, Other: Advisory board member; Takeda: Consultancy, Other: Advisory board member; Bluebird Bio: Consultancy, Other: Advisory board member; Morphosys: Consultancy, Other: Advisory board member; Janssen: Consultancy, Other: Advisory board member; Chimagen: Consultancy, Other: Advisory board member; Adicet Bio: Consultancy, Other: Advisory board member, Research Funding; Bristol Myers Squibb: Consultancy, Other: Advisory Board Member, Research Funding; Allogene: Consultancy, Other: Advisory board member, Research Funding; Incyte: Consultancy, Other: Advisory board member; Immunoadoptive Cell Therapy Private Limited: Consultancy, Other: Scientific Advisory Board; Athenex: Consultancy, Other: Advisory board member; Synthekine: Consultancy, Other: Advisory board member; Fosun Kite: Consultancy, Other: Advisory board member; Longbow Immunotherapy: Current holder of stock options in a privately-held company; Caribou: Consultancy, Other: Advisory board member; Astellas Pharma: Consultancy, Other: Advisory board member; Sana Biotechnology: Consultancy, Other: Advisory board member, Research Funding; N/A: Patents & Royalties: Related to cell therapy and the safety switch described (intellectual property). Locke:National Cancer Institute: Other; Iovance: Consultancy, Membership on an entity's Board of Directors or advisory committees; Bluebird Bio: Consultancy, Membership on an entity's Board of Directors or advisory committees, Other: Institutional; Umoja: Consultancy, Membership on an entity's Board of Directors or advisory committees; Takeda: Consultancy, Membership on an entity's Board of Directors or advisory committees; Imedex: Other; CERo Therapeutics: Other: (Institutional); Leukemia and Lymphoma Society: Other; Kite, a Gilead Company: Consultancy, Membership on an entity's Board of Directors or advisory committees, Other: Institutional , Research Funding; Bristol Myers Squibb/ Celgene: Consultancy, Membership on an entity's Board of Directors or advisory committees, Other: Institutional , Research Funding; Legend Biotech: Consultancy, Membership on an entity's Board of Directors or advisory committees; Janssen: Consultancy, Membership on an entity's Board of Directors or advisory committees; ASH: Other: Travel Support; BioPharma Communications CARE Education: Other: Institutional; Cellular Medicine Group: Consultancy; Cowen: Consultancy; Emerging Therapy Solutions: Consultancy, Other; Sana: Consultancy, Membership on an entity's Board of Directors or advisory committees; GammaDelta Therapeutics: Consultancy; EcoR1: Consultancy; Pfizer: Membership on an entity's Board of Directors or advisory committees; Aptitude Health: Other: Travel Support; Society for Immunotherapy of Cancer: Other; Clinical Care Options Oncology: Other; Calibr: Consultancy; Daiichi Sankyo: Consultancy; Caribou: Consultancy; Wugen: Consultancy, Membership on an entity's Board of Directors or advisory committees; Amgen: Consultancy, Membership on an entity's Board of Directors or advisory committees; Allogene: Consultancy, Membership on an entity's Board of Directors or advisory committees, Other: Institutional ; Novartis: Consultancy, Membership on an entity's Board of Directors or advisory committees, Other: Institutional , Research Funding; Gerson Lehrman Group (GLG): Consultancy; A2 Biotherapeutics: Consultancy, Membership on an entity's Board of Directors or advisory committees, Other: Travel support. Lunning:InstilBio: Consultancy, Honoraria; GenMab: Consultancy, Honoraria; Genentech: Consultancy, Honoraria; Fate Therapeutics: Consultancy, Honoraria; EUSA: Consultancy, Honoraria; Daiichi Sankyo: Consultancy, Honoraria; CRISPR: Consultancy, Honoraria; Caribou: Consultancy, Honoraria; BMS: Consultancy, Honoraria, Research Funding; Astellas: Consultancy, Honoraria; Astra Zeneca: Consultancy, Honoraria; ADC Therapeutics: Consultancy, Honoraria; Acrotech: Consultancy, Honoraria; AbbVie: Consultancy, Honoraria; Ipsen: Consultancy, Honoraria; Janssen: Consultancy, Honoraria; Kite: Consultancy, Honoraria; Loxo: Consultancy, Honoraria; Miltenyi: Consultancy, Honoraria; Morphosys: Consultancy, Honoraria; Novartis: Consultancy, Honoraria; Nurix: Consultancy, Honoraria; Pharmacyclics: Consultancy, Honoraria; Regeneron: Consultancy, Honoraria; Sanofi: Consultancy, Honoraria; SeaGen: Consultancy, Honoraria; Takeda: Consultancy, Honoraria; TG Therapeutics: Consultancy, Honoraria; Curis: Research Funding. Dahiya:Adaptive Biotechnologies: Consultancy; Kite, a Gilead Company: Consultancy, Research Funding; Bristol Myers Squibb: Consultancy; Incyte: Consultancy.
This feature is available to Subscribers Only
Sign In or Create an Account Close Modal